To determine the volume of the substrate in a pot, we can apply the geometric properties of a frustum of a right circular cone. This allows us to calculate the substrate volume based on its height within the pot.
For your convenience, an Excel file containing a simple calculator is attached to this article. If you are interested in the theory behind the calculation, please continue reading.
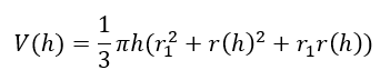
The radius of the pot increases linearly from the bottom to the top. The radius r(h) at any given substrate height is:

Where:
r1 = bottom radious of the pot
r2 = upper radious of the pot
H = total height of the pot
h = height of substrate in the pot

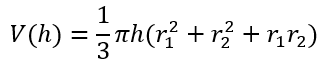
The volume of frustum right cicular cone is given by the formula:

Replacing r2 with r(h):

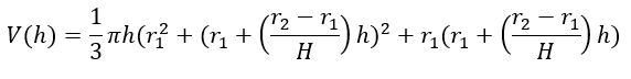
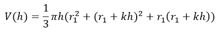
Subsetute the value of r(h) to V(h):

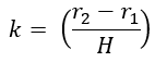
Define k as:

Subsetute the value of k to V(h):

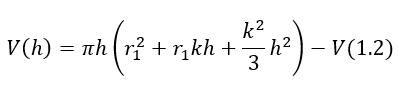
Simplfy formula:

Gemini said
To find the height of the substrate in the pot, h, we can subtract the distance between the top of the pot and the growing medium from the total height of the pot, H.
For example, in the following picture, the total height of the pot is 18 cm and the distance between the top of the pot and the growing medium is 4 cm; hence: h= 18cm - 4 cm = 14 cm

Gemini said
Finally, we must take into consideration that the mesh is placed 1.2 cm above the bottom of the pot, decreasing the actual volume of the potting mix in the pot:
